
[스포츠서울 | 황철훈 기자] 자생한방병원 척추관절연구소가 반월상연골손상 치료에 한의통합치료가 객관적인 효과를 보인다는 연구 결과를 26일 발표했다.
반월상연골손상이란 무릎에 가해지는 충격을 흡수해 관절을 보호하는 반달 모양의 반월상연골이 손상되는 질환이다. 반월상연골이 손상되면 뻐근한 무릎 통증과 함께 관절 잠김이나 부종 같은 증상이 나타나 보행에 어려움 겪는다. 운동량이 많은 젊은 층에서는 무릎에 강한 외부 충격이 가해지면서 주로 발생하지만, 중장년 세대에게는 퇴행성 변화가 주원인이다.
반월상연골손상 치료에는 보존치료 외에도 관절경 절제술 같은 수술적 치료가 활발하게 시행되고 있다. 하지만 수술 후유증에 대한 문제점이 제기되면서 의료계에서는 수술 없이 회복할 수 있는 치료에 관심이 집중되고 있다.
자생한방병원 척추관절연구소는 이번 연구를 통해 반월상연골손상에 대한 비수술 한의통합치료의 객관적 효과 및 임상적 유효성을 측정했다. 연구에 따르면 추나요법과 침·약침치료, 한약 처방 등으로 구성된 한의통합치료를 진행한 결과 반월상연골손상 환자들의 무릎 통증 및 장애가 개선됐고 삶의 질 또한 향상된 것으로 나타났다.

연구팀은 2015년 6월부터 2020년 6월까지 전국 4개 지역(강남·대전·부천·해운대) 자생한방병원에서 반월상연골손상으로 한의통합치료를 받은 입원환자 86명을 대상으로 연구를 진행했다. 치료 유효성 분석을 위해 후향적 차트 리뷰와 설문조사가 이뤄졌다.
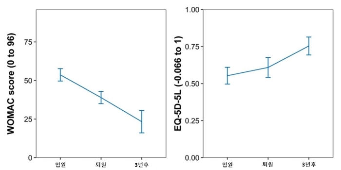
연구팀은 평가 지표로 △숫자평가척도(NRS) △골관절염지수(WOMAC) △삶의 질 척도(EQ-5D) 등을 활용했다. NRS(0~10점)는 숫자가 클수록 통증이 심함을 나타내며, WOMAC(0~96점)은 무릎 통증과 뻣뻣함 등으로 겪는 활동의 어려움을 평가하는 척도로, 점수가 높을수록 일상생활이 힘들다는 것을 의미한다. 또한 삶의 질 척도를 나타내는 EQ-5D(-0.066~1점)는 1에 근접할수록 삶의 질과 건강 상태가 이상적임을 뜻한다.
연구 결과, 한의통합치료 후 모든 평가 지표에서 긍정적인 변화가 관찰됐다. 환자들의 평균 NRS는 치료 전 중등도 통증 수준의 6.1에서 가벼운 통증인 3.6으로 절반 가까이 낮아졌고, WOMAC은 53.67에서 치료 후 38.97로 회복했다. 통증과 장애의 정도가 개선되며 삶의 질도 향상됐다. EQ-5D의 경우 0.55에서 0.61로 높아졌다.
아울러 퇴원 후 약 3년이 지난 시점에 진행된 설문을 토대로 분석한 장기추적관찰 결과에서도 호전 양상은 지속된 것으로 나타났다. 특히 WOMAC은 23.33점까지 낮아지면서 퇴원 후에도 호전세가 장기적으로 이어지는 것이 확인됐다. EQ-5D도 0.75로 상승하며 높은 수준을 유지했다. 함께 이뤄진 치료만족도 조사에서는 전체 환자의 94.4%가 현재 상태가 개선됐다고 응답했으며, 그 이유로는 통증 감소(64%)와 빠른 일상 복귀(28%)가 가장 많았다.

논문의 공동 제1 저자인 이준행·송진영 한의사는 “이번 연구를 통해 한의통합치료가 반월상연골손상을 효과적으로 치료함과 동시에 삶의 질 개선에 장기적으로 긍정적인 영향을 미친다는 사실을 확인할 수 있었다”며 “앞으로 한의통합치료가 반월상연골손상 치료에 효과적인 치료법으로 자리 잡기를 바란다”고 말했다.
한편, 이번 연구는 SCI(E)급 국제학술지 ‘메디슨(Medicine)’ 2월호에 게재됐다.
color@sportsseoul.com
기사추천
0